Notice
Recent Posts
Recent Comments
류지세(柳志世*朗惠)TISTORY
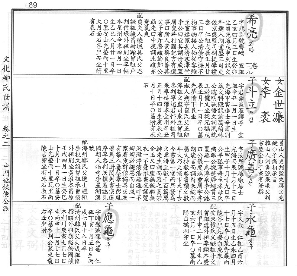
梅墩居士 柳廣善(父 斗立) 朔寧 崔氏 姨母(李沃의 母) 본문
류희분 선조 따님과 삭녕최씨 관계
류희분 선조 따님과 삭녕최씨 관계
'柳希亮(21世) 監司公' 카테고리의 다른 글
부모님 묘역 위치 (0) | 2025.05.01 |
---|---|
류주현 관리 군자초등학교 뒷산 류희량 감사공 이하 3대단 봉쇄 사진 (0) | 2024.04.11 |
1500년 이후 우리 선조님들의 간략 기록(년도별) (1) | 2024.01.07 |
대동보(2008년도)무자보 이후 수단 정리 (0) | 2023.07.11 |
명공 류희량의 생애 (0) | 2023.06.06 |