Notice
Recent Posts
Recent Comments
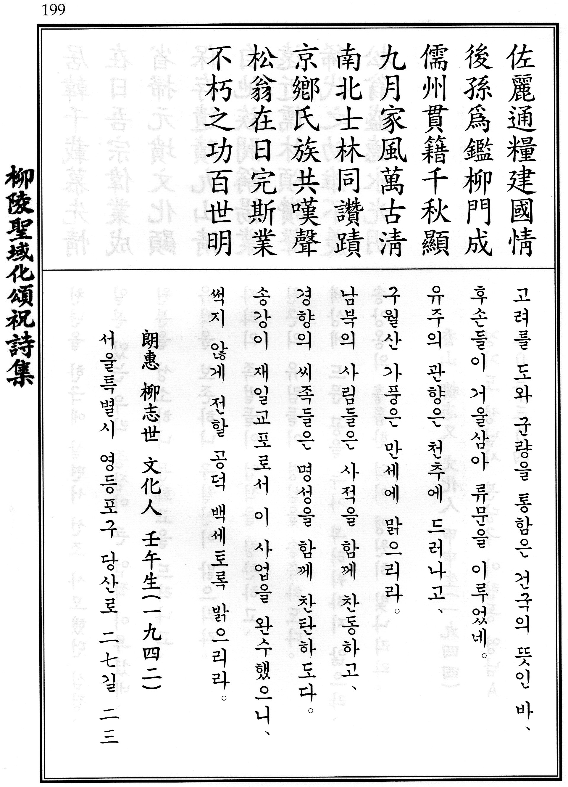
류지세(柳志世*朗惠)TISTORY
祝詩 본문

















'나홀로' 카테고리의 다른 글
구월산 대승공 묘소 윗 대 어른 도기(1950년 이전) (1) | 2023.06.06 |
---|---|
2023.06.04 계양산 망초대계곡(본인이 붙인 코스) (0) | 2023.06.04 |
나의 변화모습 (0) | 2023.05.26 |
계양산 하느재 고개를 오르내리다.(2023.05.25 오후1시30~4시) (0) | 2023.05.25 |
2023.05.22(계양산 산행) (0) | 2023.05.23 |